近日,新葡的京生物和达普生物强强合作,联合发布GenoLab M基因测序仪检测临床肿瘤单细胞转录组样本的评测数据。
本次测评基于达普Galaxy星海单细胞测序建库系统完成两类临床肿瘤单细胞的转录组文库制备,制备好的文库由达普生物分别在GenoLab M和NovaSeq 6000上进行测序,测序数据分析表明,GenoLab M 表现优异,与对比平台检测出的单细胞UMI水平、细胞聚类、同基因表达量结果高度一致。
01 实验方案
1. 测试用样本:两种不同肿瘤组织制备而成的单细胞悬浊液;
2. 单细胞建库系统:文库制备试剂:星海单细胞 3' 转录组测序建库试剂盒(Galaxy Single Cell 3' mRNA Kit v1.0);文库制备平台:星海单细胞建库系统(Galaxy Single Cell Analysis System);
3. 测试平台:GenoLab M、NovaSeq 6000;
4. 测试实验:使用达普生物星海单细胞建库系统与3' 转录组测序建库试剂盒对两种不同肿瘤组织解离后得到单细胞悬浊液进行单细胞转录组测序文库制备(下文简称S1、S2)。构建好的文库分别在GenoLab M、NovaSeq 6000测序平台上进行测序。

02 测试结果
GenoLab M 测试结果与对比平台一致性高
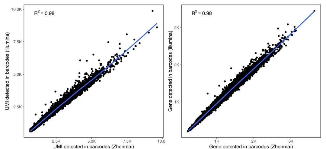
对GenoLab M和NovaSeq 6000测序数据进行分析,S1和S2样本在两平台检测细胞UMI水平、细胞聚类、同基因的表达量等结果高度一致(图1~3)。

图1 细胞UMI分析结果
(左:S1;右:S2)
●Single-cell clustering 对比
S1:

S2:

图2 细胞聚类分析
●Barcode assignment 对比
S1:

S2:

图3 同一cell barcode 的 UMI及基因数对比分析的表达量
03 产品介绍
达普Galaxy星海单细胞建库系统
1)性能优:可一次性完成数百至数万个细胞的分离,基因检测灵敏度高;
2)上样活:1-4 通道,可灵活选择样本数及细胞数量,方便快捷;
3)兼容好:文库兼容 GenoLab M 和 NovaSeq 6000 等测序平台;
4)分析全:自主开发的StarScope 生信分析软件可完成分析报告的输出;
5)流程活:可接驳下游流程 ,如单液滴分选。
04 总结
基于达普Galaxy星海单细胞建库系统构建两类肿瘤单细胞转录组文库在GenoLab M进行测序,数据分析结果表明细胞UMI水平、细胞聚类、同基因的表达量与对比平台一致性高,能够极佳地满足科研以及临床对于单细胞测序需求。
GenoLab M基因测序平台与达普Galaxy星海单细胞建库系统均为全流程自主研发的国产化平台,利用双方平台灵活上样、高性价比等优势,能大大缩短单细胞测序周期,全面提高效率并降低测序成本,为临床应用提供从单细胞到数据结果的全流程解决方案。同时助力单细胞多组学科研普及化和转化单细胞多组学研究在临床中的应用。在未来,双方将进一步深化合作,解决单细胞测序在临床与医学转化中的“卡脖子”技术,为科研用户及临床工作者提供高质量、高性价比的单细胞测序全流程解决方案。